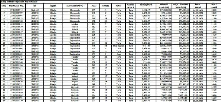
Edirne’nin Süloğlu ilçesinde Milli Emlak Şefliği tarafından taşınmaz mal satış ihalesi yapılacak.
Çevre, Şehircilik ve İklim Değişikliği İl Müdürlüğü tarafından yapılan duyuruda, Süloğlu ilçesine bağlı Domurcalı, Sülecik, Taşlısekban, Tatarlar, Yağcılı, Geçkinli ve merkez ilçe olmak üzere toplam 34 taşınmazın satış ihalesinin yapılacağı açıklandı.
Duyuruya göre; Domurcalı’da 5, merkez ilçede bir, Sülecik’te 3, Taşlısekban’da 8, Tatarlar’da 6, Yağcılı’da 5, Geçkinli’de 6 adet taşınmaz ihale ile satılacak. Taşınmazların cinslerinde 34 tanesinin tarla, bir tanesinin arazi, bir tanesinin ise ham toprak olması dikkat çekti.

14 İLE 15 MAYIS’TA DÜZENLENECEK
Süloğlu Kaymakamlığı Milli Emlak Şefliği’nde teşekkül edecek komisyon huzurunda, Süloğlu Kaymakamlığı toplantı salonunda yapılacak satış ihalesi açık teklif usulü ile gerçekleştirilecek. İhaleler 14-15 Mayıs 2024 tarihlerinde 10.00-16.40 saatleri arasında düzenlenecek.
EN YÜKSEK 4,5 MİLYON, EN DÜŞÜK 637 BİN TL
Duyuruda, en yüksek tahmini bedel 4 milyon 525 bin 861 TL ile Domurcalı köyündeki 12 bin 931 m2’lik tarla, en düşük tahmini bedel ise 637 bin 821 TL ile Geçkinli köyündeki 2 bin 126 m2’lik tarla cinsindeki taşınmazlar olarak açıklandı.
UĞUR AKAGÜNDÜZ
Kaynak: UĞUR AKAGÜNDÜZ